התחבר
הרשם
סרטונים חדשים
חדשים מתעדכנים בעוד
00:00
הסרטונים הפופולרים ביותר
טריילרים
סרטוני מדריכי משחק
פרסומות
אנימציות
סרטוני מוזיקה
ילדים
כיף & משוגע
טכני
חיות
ספורט
מוזר
Vlogs
הצג את כל התגיות
משחקים בהם שיחקת לאחרונה
סרטונים שאהבת
Newsroom
Upload Your Game to Y8
מפרסמי משחקים
סטודיו משחקי דפדפן
מפתחי משחקים
דפדפן Y8
למשחקי Flash
Reddit
Discord
פורום Y8
Instagram
Facebook
Twitter
YouTube
About us
צרו איתנו קשר
עברית
© 2006 - 2026 Y8.com
כל הזכויות שמורות
חזרה למשחקים
התחבר
הרשם
הפרופיל שלי
נקודות
משחקים בהם שיחקת לאחרונה
סימניות
(
)
אהובים
(
)
הישגים
צפייה בסטודיו שלי
הפרופיל שלי
ערוך פרופיל
הנכסים שלי
יציאה
בחירת שפה
English
Руcский
Français
Deutsch
Italiano
Ελληνικά
עברית
Svenska
Română
Español
Tagalog
ไทย
中文
Nederlands
Việt
Türkçe
Português
Polski
한국어
日本語
Indonesia
العربية
Dansk
Norsk
हिंदी
తెలుగు
தமிழ்
বাংলা
Українська
मराठी
فارسی
اُردُو
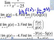
Limits Test Review
נצפה 1,078 פעמים
8.0
תודה, ההצבעה שלך נרשמה ותופיע בקרוב.
כן
לא
נוסף לסימניות בפרופיל שלך.
סימנייה
נוסף לסימניות
דיווח
תקלה
עניינים משפטיים
פוגעני
תיאור הוידאו:
What's another way to find the limit that uses asymptotes?
הצג עוד
הצג פחות
קטגוריה:
סירטונים חינמיים מובחרים בהאשטאג טכנולוגיה
הוסף ב
18 אוקטובר 2019
תגובות
אנא הרשמו או התחברו כדי לשלוח תגובה
הרשמה
כניסה
לחשבון שלך אין אוואטר
להמשך פרסום תגובה, אנא בחר אוואטר זמני:
Confirm
משהו השתבש, אנא נסו שנית.
Or
העלאה לחשבון ה Y8
ביטול
תגי
Review
Tutorial
חינוכי
מדע
מתמטיקה
הוסף סרטון זה לאתר שלך!
באמצעות הטמעת שורת הקוד הפשוטה
הוסף סרטון זה לאתר שלך!
Limits Test Review
לחץ כאן על מנת להפעיל את האנימציה
קישור לעמוד
<a target="_blank" href="https://he.y8.com/animation/limits_test_review"><img alt="Limits Test Review" class="thumb playable" src="https://img.y8.com/cloud/v2-y8-thumbs-video-thumbnails-001/272846/s180x135_video_thumbnail.jpg" /><br>Limits Test Review<br>לחץ כאן על מנת להפעיל את האנימציה</a>
סגור
אנחנו משתמשים בקבצי עוגיות ("Cookies") למטרות המלצות תוכן, מדידת תנועה (טראפיק), ופרסומות בהתאמה אישית. שימוש באתר מהווה הסכמה ל
ול
.
הבנתי